MATHEMATICS
A cell membrane is a very complex medium, which is difficult to study. One of the simplest approaches is to assume it purely elastic or purely viscous. In this paper, we follow the second assumption and derive mathematical model of nearly-planar viscous plate evolving under action of applied forces. The obtained model is non-linear and covers both stretching and bending of the membrane. In contrast to analogous works on viscous sheets, we use a unique scale for velocity components and take a few first terms in asymptotic expansion. The developed approach can be used for description of the cell membrane with nanoparticles inserted.
Aharonov–Bohm ring (AB ring) is an element frequently used in nanosystems. The paper deals with wave dynamics on quantum graph consisting of AB ring coupled to a segment. It is assumed that the lengths of the edges vary in time. Variable replacement is made to come to the problem for stationary geometric graph. The obtained equation is solved using the expansion with respect to a complete system of eigenfunctions of the unperturbed self-adjoint operator for the stationary graph. The coefficients of the expansion are found as solutions of a system of differential equations numerically. The influence of the magnetic field is studied. The comparison with the case of stable geometric graph is made.
PHYSICS
Direct methods (using a laser particle size analyzer) and indirect (from the analysis of spectral characteristics and differential normalized tunnel CVC) methods of CdSe QD size estimation allowed determination of the size (4 – 5 nm) and shown good qualitative and quantitative agreement of the results with an error of less than 10 %. It is concluded that the tunnel differential CVC analysis is an effective method for express measurement that can be used in quantum-size object investigations.
Shungite rocks of two different types were treated at ∼ 1400 ◦C and a set of nanomaterials have been obtained. Among the different materials obtained were: carbon hollow fibers; spherical or ellipsoid particles; silicon carbide amorphous; crystalline nanofibers and nanoparticles having different morphologies; iron and iron silicide nanoparticles encapsulated into carbon shells. Measurements were performed for shielding effectiveness (SE) and the electrical conductivity (σ) of untreated and heat-treated shungite rocks. The shungite rock with dominated hyperfullerene carbon is remarkable for a two-fold increase in the σ and a 10 dB increase in SE with a slight decrease of the carbon content by 1.5 % in relation to the untreated sample. In contrast, the treated shungite rock with high SiC nanofiber content is characterized by a halving of the σ and a 10 dB decrease in SE with a decrease of the carbon content by 6 % relative to the original sample.
The present Very Large Scale Integration (VLSI) technology is based on Complementary Metal-oxide-Semiconductor (CMOS) technology. The development of the VLSI technology has reached its peak due to the fundamental physical limits of CMOS technology. The recent challenges, as well as the physical limitation of the traditional CMOS technology, has overcome by the Quantum-dot Cellular Automata (QCA) which is first introduced by C. S. Lent. The nanoscale size quantum cell is a feature of QCA technology. In this paper, we propose a new QCA structure for 4-bit binary to 4-bit gray and 4-bit gray to 4-bit binary using two input XOR gate. These structures are designed and simulated with QCA designer and compared with previous structure.
Generalizing the problem of state nonlocality measurement, we suggest a multi-partite Bell test for multi-photon frequency-entangled quantum state in a quantum network. Each side of this network is equipped with a generalized detector, consisting of an electro-optic phase modulator, frequency filter and photo-counter. In our paper, we develop a theory of Bell nonlocality measurement in frequency domain, using generalized Svetlichny inequalities. Solving the optimization problem for detectors inputs, we obtain optimal measurement parameters which allow strong violation of considered inequalities. As a particular case, we consider bi- and tripartite cases for EPR, GHZ and Wigner states correspondingly.
CHEMISTRY AND MATERIAL SCIENCE
The results of the research are given to show the possibility of reducing the agglomeration of aerosol nanoparticles using the needle-plate corona charger. It has been found that the charger fulfills the functions of an electrofilter-separator, precipitating large particles of agglomerates at a size more than 250 nm, leaving smaller non-agglomerated particles in the flow. Using the developed charger allows us to significantly reduce the agglomeration of particles at sufficiently low aerosol flow rates. As a result of changing the parameters of the charger (corona discharge current from 35 to 215 µA, aerosol flow through the charger from 33 to 250 l/min and the corona polarity), the mean particle size decreases more than in 1.5-fold.
Reduced graphene oxide flakes of large area, some of which are more than 100 micrometers in diameter, have been produced on polystyrene surface. These flakes were formed during precipitation of composite based on polystyrene with reduced graphene oxide from the benzene by petroleum ether. Extremely low resistances were obtained for these flakes in planar dimension at room temperature. The measured resistance absolute values turned out to be 2 orders of magnitude lower than the resistance of copper. This result is explained by existence of superconducting component in the reduced graphene oxide inclusions.
The study of regularities of the formation and evolution of nonmetallic inclusions and phase precipitates in modern structural steels has been carried out. It has been shown that the formation of several types of complex nonmetallic inclusions results in a substantial increase in the complex of steel properties and neutralizing the negative influence of impurities while a reduction in costs. An even more significant improvement in the properties of steel can be achieved by controlling the characteristics of carbide, carbonitride, and other types of phase precipitates. Herewith, ferritic steels are the most promising. The previously unreachable complex of indicators of difficult to combine service properties of these steels has been achieved by the formation of a homogeneous fine-dispersed microstructure and a volumetric system of primarily interphase precipitates. Based on established principles, effective technologies for the production of a wide range of various types of steels have been developed.
A nanostructured willemite doped with manganese (Zn2SiO4:Mn2+) was synthesized by sol-gel method followed by high-temperature annealing. Prepared Zn2SiO4:Mn2+ is characterized by average particle size of 100 nm, narrow particle size distribution, and high crystallinity. Under UV-excitation nanostructured willemite shows an intensive photoluminescence at 520 nm corresponded to activator Mn2+ emission. It was found that the emission decay curves of willemite becomes non-exponential with increasing of manganese content. Zn2SiO4:Mn2+ reveals long-lasting phosphorescence up to 45 ms. Absolute quantum yield of Zn2SiO4:Mn2+ reaches 47 % at 0.1 at. % of Mn2+. The luminescence concentration quenching effect at Mn2+ concentration higher than 1 at % is observed.
The controlled addition of butane to the inert working gas during the production of nickel nanoparticles by the electrical explosion of wire (EEW) method leads to the formation of carbon shells on the surface of particles. EEW provides formation of spherically shaped nanoparticles, with an average diameter that varies from 60 to 100 nm and depended on the energy introduced into the wire in the EEW process. The thickness and the structure of carbon layer deposited onto the surface of Ni nanoparticles as a function of butane addition was characterized by low-temperature adsorption of nitrogen, x-ray diffraction, complex thermoanalysis, transmission and scanning electron microscopy. It was shown that the thickness of carbon shell on the surface of nanoparticles varied from 2 to 6 nm and depended on the amount of energy introduced into the wire during the EEW process and on the amount of butane added. The crystalline structure of the carbon shell consisted of amorphous and graphite regions.
Among numerous trichlorides, the melt of BiCl3 is a distinctly molecular liquid with a relatively low melting point, yet, with a high surface tension. Therefore, the attractiveness of a simple capillary filling technique for fabrication of nanosized BiCl3 by dispersion within a nanocapillary needs a special investigation. Here, we report the successful synthesis and the transmission electron microscopy characterization of the hybrids consisting of multi-walled carbon nanotubes and endohedral BiCl3 crystallites. The main peculiarities of imbibition into carbon nanotubes and an intricate internal organization of molten BiCl3 are established using the developed 4-site force-field model of BiCl3 and consequent molecular dynamics simulations at nanosecond time scale.
An apparatus for working with supercritical fluids has been developed, and results have been obtained on purification of the diamond blend by supercritical isopropanol, as well as by selective etching of CNx films. It is shown that the proposed method for purifying diamond blend in supercritical isopropanol is not only effective, but also quite simple to use.
Cerium oxide nanoparticles (CeONP) were used as the modifying agent for the recombinant tumor necrosis factor-α and recombinant tumor necrosis factor-α-thymosin-α1 (rhTNF and rhTNF-T). A notable increase of the biological activity of proteins with antitumor effect was demonstrated. It was established that the cytotoxicity of rTNF-T+CeONP composite increases with the duration of exposure to 7 days. Modification of rTNF-T with cerium oxide nanoparticles provides a stronger and more stable cytotoxic effect in Hep-2, L929, and A-549 tumor cell lines.
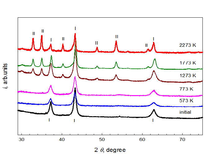
The structure of nanostructured titanium monoxide TiO0.98 containing structural vacancies in two sublattices simultaneously has been modified via thermobaric annealing. Analysis of the experimental data on thermobaric synthesis of nanostructured TiO0.98 with cubic B1 type structure at temperatures 573 – 2273 K and pressure 6 GPa revealed that a transition from the cubic B1 (sp. gr. Fm¯3m) phase to the trigonal Ti2O3 (sp. gr. R¯3c) phase takes place in the nanostructured monoxide as a result of high pressures and high temperatures. The first-principle calculations of the cohesive energy and electronic structure show that the trigonal phase with space group R¯3c is energetically favorable compared to the cubic phase of the same composition TiO3/2 and the orthorhombic ordered Ti2O3 (sp. gr. Immm) phase.
The nanoparticle sizes in hydroxyapatite (HAp), titanium monoxide (TiOy) and HAp-TiOy mixtures (y = 0.92; 1.23) have been studied by XRD and HRTEM techniques as a function of milling time. It was established that the high-energy milling does not lead to a considerable decrease in the particle size and to a variation in the HAp crystal lattice parameters, but it promotes 4-fold reduction of microstrains. It was shown that the dependence of the average size of crystal and structural parameters on the milling time for the HAp-TiOy mixtures is similar to that of initial HAp. The coherent scattering region of HAp does not depend on stoichiometry and TiOy content in the mixture and is ∼ 15 ± 5 nm after milling for 480 min.
Solid-state transformations of the oxide core in core-shell structures Oxide@C consisting of oxide nanoparticles covered with a carbon coating were studied at temperatures of up to 1500 ◦C. It is shown that such coating can stabilize the size of the oxide core nanoparticles for alumina, zirconia, calcium and lanthanum aluminates and act as a shell of a nanoreactor where phase and chemical transformation can take place. For ZrO2@C and Al2O3@C it is demonstrated that it is the preservation of the small particle size that accounts for the preservation of cubic ZrO2 and δ-Al2O3 until the carbothermal reduction temperatures of the corresponding oxides (above 1400 ◦C for Al2O3). The electride state C12A7:e is shown to be formed in C12A7@C material at temperatures above its melting point. The surface of activated C12A7 was found to have a significant concentration of active OH radicals capable of converting diphenylamine into stable nitroxyl radicals.
Here, we propose a formation mechanism for core-shell nanoparticles by self-organization in coprecipitated mixed hydroxides under hydrothermal conditions. A thermodynamic reason for this process is because of a decrease in the components’ solubilities together with an increase of structure’s dimension. As a particular example of such type of behavior, we investigate core-shell nanoparticle formation in the ZrO2–Y2O3–H2O system.
ISSN 2305-7971 (Online)