MATHEMATICS
A nanostructure model,which is represented as a pair of coupled two-dimensional quantum waveguides with common semitransparent wall, is considered. That wall has small window which induces a resonance state localized near the window. Semitransparency is the reason for the asymptotics difference in comparison with the non-transparent case. Using the matching of asymptotic expansions method, we obtain formulas for resonances and resonance states.
PHYSICS
The influence of non-magnetic defects of different sizes on the stability and anchoring of skyrmions in race track memory devices has been investigated. The energy surface of the system was built on the basis of the generalized Heisenberg model, which includes exchange, DzyaloshinskiiMoriya interaction, anisotropy, and an external magnetic field. Minima and saddle points on the energy surface are used to estimate quantitatively the stability and pinning effects for skyrmions. The activation energies for attachment and detachment of skyrmions from defects, collapse and nucleation of skyrmions on a nonmagnetic impurity on a track of finite width are calculated. The joint effect of defects and the proximity of sample boundaries on the stability and localization of skyrmions has been studied. It is shown that skyrmion race track memory can only work if the track width is much greater than four times the skyrmion radius, and the spatial size of defects that can pin a skyrmion is small compared to its own size.
Otherwise, the skyrmion will annihilate instead of moving under the action of the spin-polarized current.
In this work, we present a number of numerical results for the bound state energies of one and two-particle systems in two adjacent 3D layers, connected through a window. We investigate the relation between the shape of a window and energy levels, as well as number of eigenfunction’s nodal domains.
Minimum energy path (MEP) is an important tool for computation of activation barriers and transition rates for magnetic systems. Recently, new methods for numeric computation of MEP were proposed based on conjugate gradient and L-BFGS methods [1] significantly improved convergence rate compared to nudged elastic band (NEB) method. Due to lack of strict mathematical theory for MEP optimization other more effective methods are expected to exist. In this article, we propose a machine learning based approach to search for MEP computation methods. We reformulate the NEB method as a differentiable transformation in the space of all paths parametrized by a family of metaparameters. Using rate of convergence as the loss function, we train NEB optimizer to find optimal metaparameters. This meta learning technique can be the basis for deriving new optimization methods for computing MEP and other non-classical optimization problems.
This paper deals with possibility of implementation of quantum key distribution algorithm through turbulent atmosphere. Beam wandering is considered as the main perturbation. For description of the density matrix, the Glauber–Sudarshan P-function technique is used. The probabilities of detectors triggering are determined.
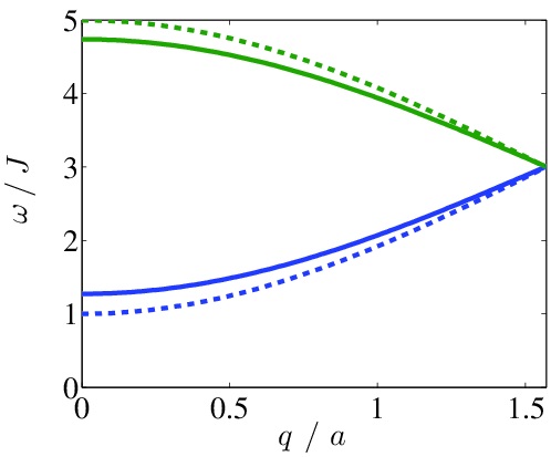
An analytical solution for the spin-wave spectrum of the two-sublattice 1D magnet with SA=SB =1 and twisting easy planes has been obtained. Such planes are mutually twisted by an angle ϕ relative to each other. For the case of mutually orthogonal easy planes ϕ = π/2, the spectrum vs. quasi-momentum dependence has been compared with that of an easy-axis magnet with the easy axis aligned along the line of intersection of the planes. An analogy of the spectra of the models has been shown, indicating the possibility of the effective easy axis anisotropy in easy-plane two-sublattice single-chain magnets.
CHEMISTRY AND MATERIALS SCIENCE
In the present work, ZnO/MgO nanocomposite was synthesized using a co-precipitation method, polyindole and the polyindole based ZnO/MgO nanocomposite were synthesized using chemical oxidation method. The synthesized materials were characterized using XRD and UV/Vis absorbance spectroscopy. The study investigates the applicability of polyindole based ZnO/MgO nanocomposite for the removal of Pb(II) heavy metal ion. Proper tuning can increase the removal efficiency of polyindole based ZnO/MgO nanocomposite and can be made a good candidate for the removal of lead ions.
ZnO nanoparticles were prepared by a hydrothermal method from the source materials of Zinc acetylacetonate hydrate and ammonium hydroxide. Further prepared samples were annealed at various temperatures for 3 hours. X-ray diffraction analysiswas employed to study the structure and crystalline nature of synthesized nanoparticles. Scanning electron microscope images showed that the prepared ZnO nanoparticles acquired nano needle, hexagonal disk and porous nanorods structures due to the effect of annealing temperature. The photocatalytic activity of the prepared ZnO nanoparticles was evaluated for Methyl Blue (MB) dye which showed 94% of degradation and good stability for five cycles.
Thermoelectric Si0.65Ge0.35Sbδ materials have been fabricated by spark plasma sintering of Ge–Si–Sb powder mixtures. The electronic properties of Si0.65Ge0.35Sbδ were found to be dependent on the uniformity of mixing of the components, which in turn is determined by the maximum heating temperature during solid-state sintering. Provided the concentration of donor Sb impurity is optimized the thermoelectric figure of merit for the investigated structures can be as high as 0.63 at 490 ◦C, the latter value is comparable with world-known analogues obtained for Si1−xGexPδ.
In this paper, we study the change in the fluorine-functionalized graphene layers depending on the fluorine concentration. Ab initio calculations were performed using the density functional theory method in the generalized gradient approximation. It was established that the metallic properties of the graphene layer become semiconducting after functionalization even at low concentrations of chemically adsorbed fluorine ∼ 10 at.%. The band gap increases from 0.11 to 3.09 eV with an increase of the amount of adsorbed fluorine.
Nanocomposite materials (NCM) based on micro- and macroporous glasses containing nanoparticles of In, Sn and Pb into porous space have been studied by small-angle neutron scattering (SANS) at room temperature. The dependencies of fractal characteristics of metals embedded into the pores from the value of transferred impulse Q have been obtained. The existence of a critical spatial scale (15 – 16 nm) has been established, at which a change in the fractal characteristics of embedded metals takes plays. Distributions of pair correlation functions have been calculated for all types of the studied NCM. It is shown that in these NCM metals form the complicated space systems combining the crystalline and amorphous states of embedded metals.
Holmium orthoferrite nanocrystals (HoFeO3) were synthesized from an aqueous solution by the sol-gel method, using polyvinyl alcohol as a stabilizer and annealing at temperatures of 650, 750, and 850 ◦C for an hour. According to the results of the performed analyses, it was found that with an increase in the annealing temperature, the average size of HoFeO3 crystallites increases from 24 to 30 nm. The magnetic characteristics of the samples were measured and it was shown that holmium orthoferrite is a paramagnet with a low coercive force. The band gap of nanocrystalline holmium ferrite is determined.
The effect of hydrothermal-microwave treatment time at 180 ◦C on the phase composition, dimensional parameters of crystallites and nanoparticles of solid solutions of lanthanum and yttrium orthophosphates in the system 0.53LaPO4–0.47YPO4–(nH2O) has been determined. It has been proposed the mechanism for structural transition of lanthanum-yttrium orthophosphate solid solution with rhabdophane structure into monazite structure, which consists in the degeneration of nanocrystals having rhabdophane structure along certain edges into monazite structure. It is shown that phase nanoparticles of monazite structure having average crystallite size of 15–17 nm begin to form after 30 minutes of hydrothermalmicrowave treatment at 180 ◦C immediately after complete crystallization of amorphous phase in the system. The nanoparticle size increase (length of nanorods) with monazite structure after the stage of their formation occurs, mainly due to matter transfer from nanoparticles having rhabdophane structure to nanoparticles having monazite structure. In this case, the system considered conditions of hydrothermal treatment (temperature – 180 ◦C, pressure ∼1–1.5 MPa, duration – up to 120 min) remains two-phase.
Nanotechnologies and nanostructured materials are attracting significant attention as most promising candidates for achieving drastic improvement of solar energy conversion efficiency in next-generation nanostructured-based perovskite solar cells (PSCs). In this review, we focus on the latest achievements in construction of efficient PSCs and describe new trends in perovskite solar photovoltaics including the development of high-performance perovskite-silicon tandem solar cells, inorganic PSCs with stabilized efficiency and a new generation of PSCs for low lighting conditions that opens great possibilities for indoor applications. A special attention is paid also to the development of new types of efficient photoelectrodes for PSCs based on very large band gap metal oxides.
It is shown that monocrystalline nanoparticles with fluorite structure are formed in the ZrO2–Y2O3 system, under hydrothermal conditions. The limiting content of Y2O3 in the nanocrystals based on zirconium dioxide is 21.7–22.6 mol.%. Yttrium oxide not included in the structure forms an amorphous phase, which is stable even upon thermal treatment at 1000–1300 ◦C. It has been found that under hydrothermal conditions the structure of the nanocrystals based on ZrO2(Y2O3) solid solution includes water, its content depending on yttrium oxide concentration in the solid solution.
ISSN 2305-7971 (Online)